Упр.3.95 ГДЗ Дорофеев Шарыгин 5 класс (Математика)
Решение #1

Рассмотрим вариант решения задания из учебника Дорофеев, Шарыгин, Суворова 5 класс, Просвещение:
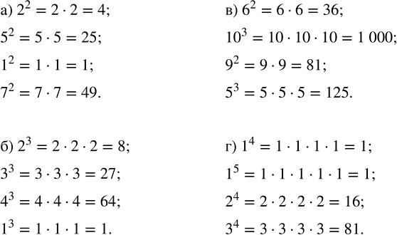
Вычислите устно, прокомментируйте свои действия:
а) 2^2, 5^2, 1^2, 7^2; в) 6^2, 10^3, 9^2, 5^3;
б) 2^3, 3^3, 4^3, 1^3; г) 1^4, 1^5, 2^4, 3^4.
Популярные решебники 5 класс Все решебники
*К сожалению, временные проблемы с публикацией комментариев с мобильных устройств.