Упр.3.74 ГДЗ Дорофеев Суворова 7 класс (Алгебра)
Решение #1

Рассмотрим вариант решения задания из учебника Дорофеев, Суворова, Бунимович 7 класс, Просвещение:
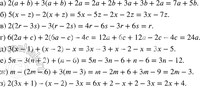
Упростите выражение:
а) 2(а + b) + 3(а + b) + 2а;
б) 5(х - z) - 2(х + z);
в) 2(2r - 3s) - 3(r - 2s);
г) б(2а + с) + 2(6а - с) - 4с;
д) 3(х -1) + (х-2) - х;
е) 5n - 3(n + 2) + (n - 6);
ж) m - (2m - 6) + 3(m - 3);
з) 2(3x + 1) - (х - 2) - Зх.
Популярные решебники 7 класс Все решебники
*размещая тексты в комментариях ниже, вы автоматически соглашаетесь с пользовательским соглашением