Упр.3.70 ГДЗ Дорофеев Суворова 7 класс (Алгебра)
Решение #1

Рассмотрим вариант решения задания из учебника Дорофеев, Суворова, Бунимович 7 класс, Просвещение:
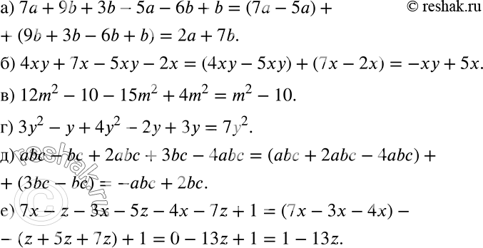
Приведите подобные слагаемые:
а) 7а + 9b + 3b - 5а - 6b + b;
б) 4ху + 1х - 5ху - 2х;
в) 12m2 - 10 - 15m2 + 4m2;
г) Зу2 - у + 4у2 - 2у + 3у;
д) abc - bс + 2abc + Зbс - 4abc;
е) 7x - z - Зх - 5z - 4х - 7z + 1.
Популярные решебники 7 класс Все решебники
*размещая тексты в комментариях ниже, вы автоматически соглашаетесь с пользовательским соглашением