Упр.3.67 ГДЗ Дорофеев Суворова 7 класс (Алгебра)
Решение #1

Рассмотрим вариант решения задания из учебника Дорофеев, Суворова, Бунимович 7 класс, Просвещение:
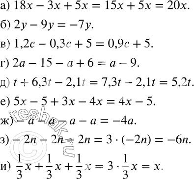
а) 18x - Зx + 5x;
б) 2у - 9у;
в) 1,2с - 0,3с + 5;
г) 2а - 15 - а + 6;
д) t + 6,3t - 2,1t;
е) 5x - 5 + Зx - 4x;
ж) -а - а - а - а;
з) -2n - 2n - 2n;
и) 1/3*x + 1/3*x + 1/3*x.
Популярные решебники 7 класс Все решебники
*размещая тексты в комментариях ниже, вы автоматически соглашаетесь с пользовательским соглашением