🔥ГДЗ под запретом?

Упр.3.51 ГДЗ Виленкин Жохов 6 класс Часть 1, Просвещение (Математика)

Решение #1 (Учебник 2023)

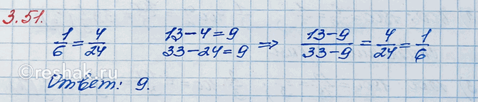
Изображение Какое число надо отнять от числителя и знаменателя дроби 13/33 чтобы получить дробь...

Решение #2 (Учебник 2023)

Изображение Какое число надо отнять от числителя и знаменателя дроби 13/33 чтобы получить дробь...

Рассмотрим вариант решения задания из учебника Виленкин, Жохов, Чесноков 6 класс, Просвещение:
Какое число надо отнять от числителя и знаменателя дроби 13/33 чтобы получить дробь 1/6?

*Цитирирование задания со ссылкой на учебник производится исключительно в учебных целях для лучшего понимания разбора решения задания.
*К сожалению, временные проблемы с публикацией комментариев с мобильных устройств.