Упр.3.41 ГДЗ Дорофеев Суворова 7 класс (Алгебра)
Решение #1

Рассмотрим вариант решения задания из учебника Дорофеев, Суворова, Бунимович 7 класс, Просвещение:
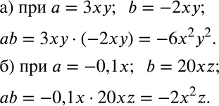
Подставьте в выражение ab вместо переменных а и b указанные выражения и выполните преобразования:
а) а = 3ху, b = -2ху;
б) а = -0,1х, b = 20xz.
Популярные решебники 7 класс Все решебники
*К сожалению, временные проблемы с публикацией комментариев с мобильных устройств.