Упр.3.40 ГДЗ Дорофеев Суворова 7 класс (Алгебра)
Решение #1

Рассмотрим вариант решения задания из учебника Дорофеев, Суворова, Бунимович 7 класс, Просвещение:
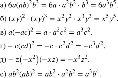
Упростите произведение:
а) 6a(ab)2b3;
б) (ху)2 * (ху)3;
в) а(-ас)2;
г) -c(cd)2;
д) -z(-x2)(-xz);
е) ab2(ab)2.
Популярные решебники 7 класс Все решебники
*размещая тексты в комментариях ниже, вы автоматически соглашаетесь с пользовательским соглашением