Упр.3.16 ГДЗ Дорофеев Суворова 9 класс (Алгебра)
Решение #1

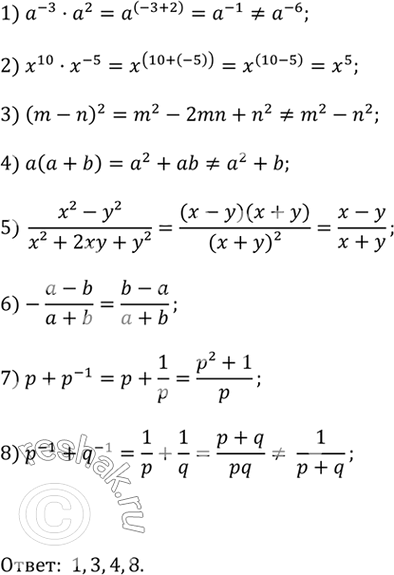
Рассмотрим вариант решения задания из учебника Дорофеев, Суворова, Бунимович 9 класс, Просвещение:
Какие из равенств не являются тождествами:
1) a^-3 · a^2 = a^-6;
2) x^10 · x^-5 = x^5;
3) (m - n)^2 = m^2 - n^2;
4) a(a + b) = a^2 + b;
5) (x^2 - y^2)/(x^2 + 2xy + y^2) = (x - y)/(x + y);
6) -(a - b)/(a + b) = (b - a)/(a + b);
7) p + p^-1 = (p^2 + 1)/p;
8) p^-1 + q^-1 = 1/(p + q)?
Популярные решебники 9 класс Все решебники
*размещая тексты в комментариях ниже, вы автоматически соглашаетесь с пользовательским соглашением