🔥ГДЗ под запретом?

Упр.3.120 ГДЗ Виленкин Жохов 6 класс Часть 1, Просвещение (Математика)

Решение #1 (Учебник 2023)

Изображение Решите уравнение:1) (2 7/12)/(6 1/5) = y/2,2;   б) (2 3/4)/(4 1/8) = 1,6/t.Для решения уравнения используем то, что произведение крайних членов пропорции равно...

Решение #2 (Учебник 2023)

Изображение Решите уравнение:1) (2 7/12)/(6 1/5) = y/2,2;   б) (2 3/4)/(4 1/8) = 1,6/t.Для решения уравнения используем то, что произведение крайних членов пропорции равно...
Дополнительное изображение

Решение #3 (Учебник 2023)

Изображение Решите уравнение:1) (2 7/12)/(6 1/5) = y/2,2;   б) (2 3/4)/(4 1/8) = 1,6/t.Для решения уравнения используем то, что произведение крайних членов пропорции равно...

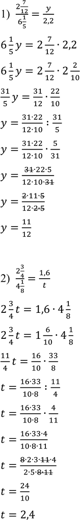
Рассмотрим вариант решения задания из учебника Виленкин, Жохов, Чесноков 6 класс, Просвещение:
Решите уравнение:
1) (2 7/12)/(6 1/5) = y/2,2; б) (2 3/4)/(4 1/8) = 1,6/t.
Для решения уравнения используем то, что произведение крайних членов пропорции равно произведению её средних членов.
Для того, чтобы найти неизвестный множитель, необходимо произведение разделить на известный множитель.
Для того, чтобы выполнить умножение (деление) смешанных чисел их необходимо преобразовать в неправильные дроби.
Для того, чтобы преобразовать смешанное число в неправильную дробь, необходимо целую часть числа умножить на знаменатель дробной части и к полученному произведению прибавить числитель дробной части; эту сумму записать как числитель неправильной дроби, а в её знаменатель записать знаменатель дробной части смешанного числа.
Произведением двух дробей является дробь, числитель которой равен произведению числителей, а знаменатель – произведению знаменателей.
Для того, чтобы разделить одну дробь на другую, необходимо делимое умножить на число, обратное делителю.
Для того, чтобы сложить (вычесть) дроби с разными знаменателями, необходимо привести данные дроби к наименьшему общему знаменателю, а затем сложить (вычесть) полученные дроби.
1) (2 7/12)/(6 1/5)=y/2,2
6 1/5 y=2 7/12•2,2
6 1/5 y=2 7/12•2 2/10
31/5 y=31/12•22/10
y=(31•22)/(12•10) :31/5
y=(31•22)/(12•10)•5/31
y=(31•22•5)/(12•10•31)
y=(2•11•5)/(12•2•5)
y=11/12
2) (2 3/4)/(4 1/8)=1,6/t
2 3/4 t=1,6•4 1/8
2 3/4 t=1 6/10•4 1/8
11/4 t=16/10•33/8
t=(16•33)/(10•8) :11/4
t=(16•33)/(10•8)•4/11
t=(16•33•4)/(10•8•11)
t=(8•2•3•11•4)/(2•5•8•11)
t=24/10
t=2,4

*Цитирирование задания со ссылкой на учебник производится исключительно в учебных целях для лучшего понимания разбора решения задания.
*К сожалению, временные проблемы с публикацией комментариев с мобильных устройств.