Упр.29.5 ГДЗ Мерзляк 10 класс Углубленный уровень (Алгебра)
Решение #1

Рассмотрим вариант решения задания из учебника Мерзляк, Номировский, Поляков 10 класс, Просвещение:
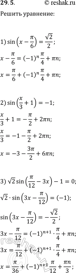
29.5. Решите уравнение:
1) sin(x-?/6)=v2/2;
2) sin(x/3+1)=-1;
3) v2sin(?/12-3x)-1=0.
Похожие решебники
Популярные решебники 10 класс Все решебники
*размещая тексты в комментариях ниже, вы автоматически соглашаетесь с пользовательским соглашением