Упр.29.9 ГДЗ Мерзляк 10 класс Углубленный уровень (Алгебра)
Решение #1

Рассмотрим вариант решения задания из учебника Мерзляк, Номировский, Поляков 10 класс, Просвещение:
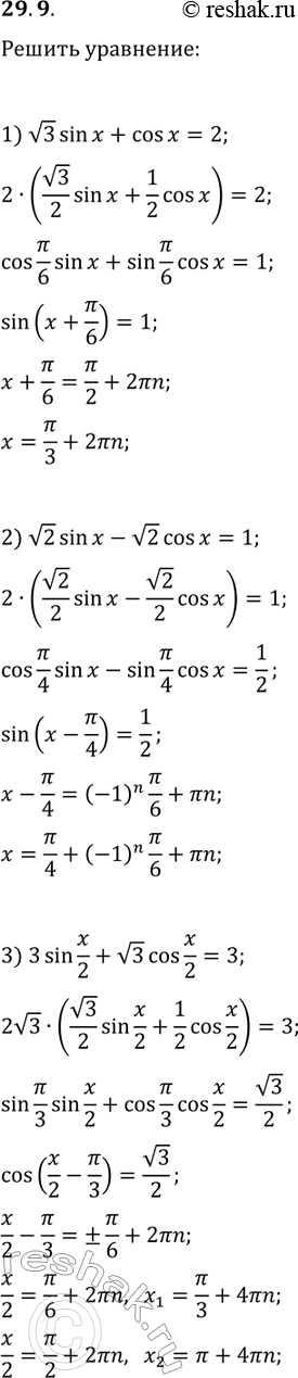
29.9. Решите уравнение:
1) v2sin(x)+cos(x)=2;
2) v2sin(x)-v2cos(x)=1;
3) 3sin(x/2)+v3cos(x/2)=3.
Похожие решебники
Популярные решебники 10 класс Все решебники
*размещая тексты в комментариях ниже, вы автоматически соглашаетесь с пользовательским соглашением