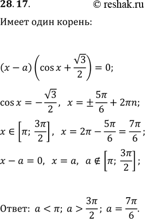
Упр.28.17 ГДЗ Мерзляк 10 класс Углубленный уровень (Алгебра)
Решение #1

Рассмотрим вариант решения задания из учебника Мерзляк, Номировский, Поляков 10 класс, Просвещение:
28.17. При каких значениях параметра а уравнение (x-a)(cos(x)+v3/2)=0 имеет единственный корень на промежутке [?; 3?/2]?
Похожие решебники
Популярные решебники 10 класс Все решебники
*размещая тексты в комментариях ниже, вы автоматически соглашаетесь с пользовательским соглашением