Упр.27.24 ГДЗ Мордкович Семенов 8 класс (Алгебра)
Решение #1 (Учебник 2025)

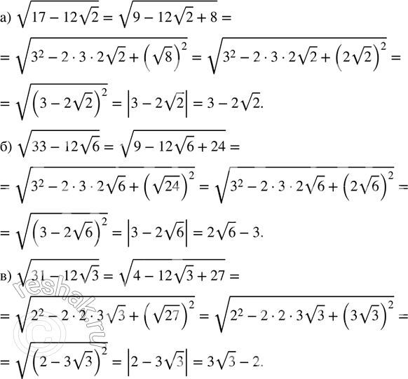
Рассмотрим вариант решения задания из учебника Мордкович, Семенов, Александрова 8 класс, Просвещение:
Представив подкоренное выражение в виде квадрата разности, вычислите:
a) v(17 - 12v2); б) v(33 - 12v6); в) v(31 - 12v3).
Похожие решебники
Популярные решебники 8 класс Все решебники
*К сожалению, временные проблемы с публикацией комментариев с мобильных устройств.