Упр.27.25 ГДЗ Мордкович Семенов 8 класс (Алгебра)
Решение #1 (Учебник 2025)

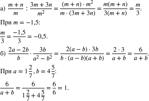
Рассмотрим вариант решения задания из учебника Мордкович, Семенов, Александрова 8 класс, Просвещение:
Найдите значение выражения:
а) (m + n)/m : (3m + 3n)/m^2 при m = -1,5;
б) (2a - 2b)/b · 3b/(a^2 - b^2) при a = 1 2/7, b = 4 5/7.
Похожие решебники
Популярные решебники 8 класс Все решебники
*К сожалению, временные проблемы с публикацией комментариев с мобильных устройств.