Упр.27.19 Часть 1 ГДЗ Мордкович Семенов 9 класс (Алгебра)
Решение #1 (Учебник 2025)

Рассмотрим вариант решения задания из учебника Мордкович, Семенов, Александрова 9 класс, Просвещение:
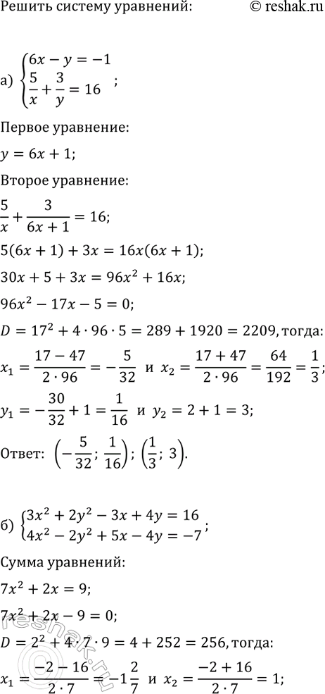
Решите систему уравнений:
а) {6x-y=-1, 5/x+3/y=16};
б) {3x^2+2y^2-3x+4y=16, 4x^2-2y^2+5x-4y=-7};
в) {4x+2y=-1, 7/x+9/y=4};
г) {5x^2+3y^2-4x+3y=48, 5x^2-y^2-4x-6y=-15}.
Похожие решебники
Популярные решебники 9 класс Все решебники
*К сожалению, временные проблемы с публикацией комментариев с мобильных устройств.