Упр.27.21 Часть 1 ГДЗ Мордкович Семенов 9 класс (Алгебра)
Решение #1 (Учебник 2025)

Рассмотрим вариант решения задания из учебника Мордкович, Семенов, Александрова 9 класс, Просвещение:
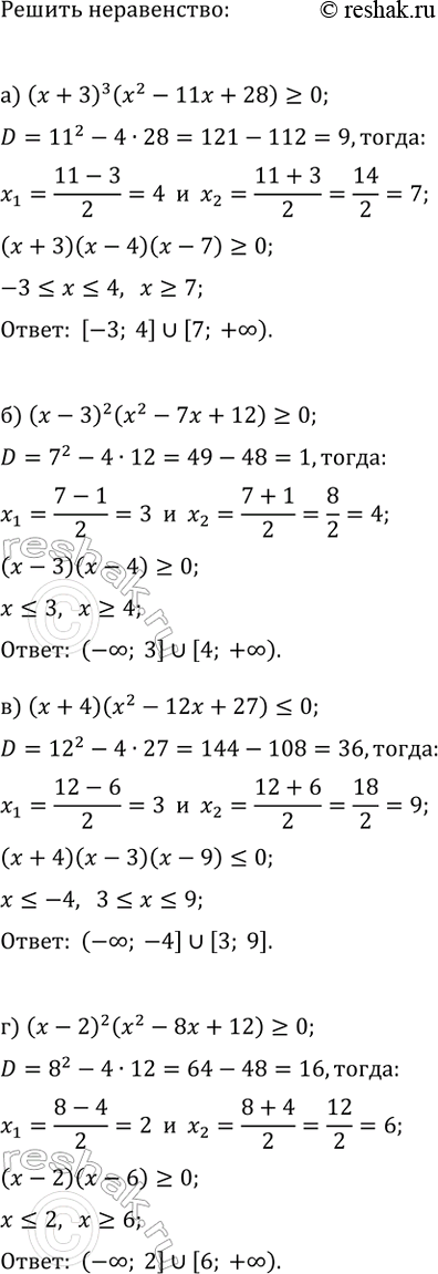
Решите неравенство:
а) (x+3)^3 (x^2-11x+28)?0;
б) (x-3)^2 (x^2-7x+12)?0;
в) (x+4)(x^2-12x+27)?0;
г) (x-2)^2 (x^2-8x+12)?0.
Похожие решебники
Популярные решебники 9 класс Все решебники
*К сожалению, временные проблемы с публикацией комментариев с мобильных устройств.