Упр.25.5 ГДЗ Мерзляк 10 класс Углубленный уровень (Алгебра)
Решение #1

Рассмотрим вариант решения задания из учебника Мерзляк, Номировский, Поляков 10 класс, Просвещение:
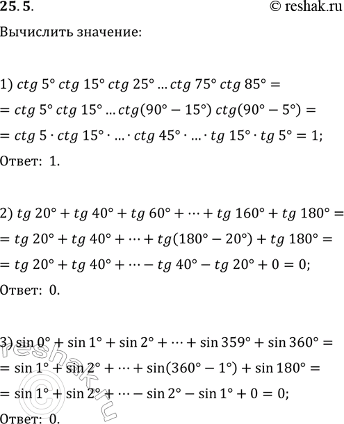
25.5. Вычислите:
1) ctg(5В°)ctg(15В°)ctg(25В°)...ctg(75В°)ctg(85В°);
2) tg(20В°)+tg(40В°)+tg(60В°)+...+tg(160В°)+tg(180В°);
3) sin(0В°)+sin(1В°)+sin(2В°)+...+sin(359В°)+sin(360В°).
Похожие решебники
Популярные решебники 10 класс Все решебники
*размещая тексты в комментариях ниже, вы автоматически соглашаетесь с пользовательским соглашением