Упр.25.4 ГДЗ Мерзляк 10 класс Углубленный уровень (Алгебра)
Решение #1

Рассмотрим вариант решения задания из учебника Мерзляк, Номировский, Поляков 10 класс, Просвещение:
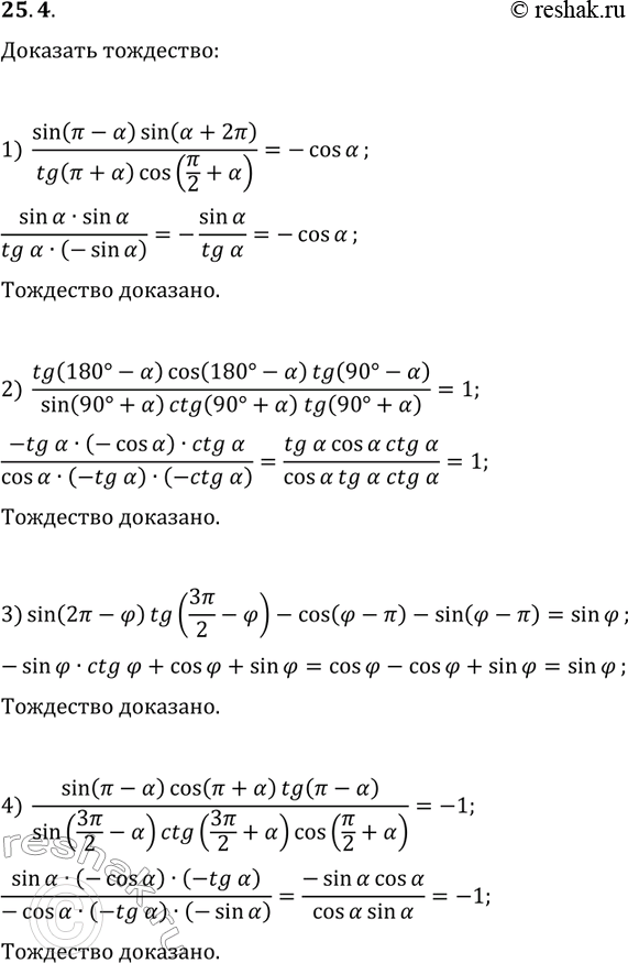
25.4. Докажите тождество:
1) sin(?-?)sin(?+2?)/(tg(?+?)cos(?/2+?))=-cos(?);
2) tg(180°-?)cos(180°-?)tg(90°-?)/(sin(90°+?)ctg(90°+?)tg(90°+?))=1;
3) sin(2?-?)tg(3?/2-?)-cos(?-?)-sin(?-?)=sin(?);
4) sin(?-?)cos(?+?)tg(?-?)/(sin(3?/2-?)ctg(3?/2+?)cos(?/2+?))=-1.
Похожие решебники
Популярные решебники 10 класс Все решебники
*размещая тексты в комментариях ниже, вы автоматически соглашаетесь с пользовательским соглашением