Упр.25.3 ГДЗ Мерзляк 10 класс Углубленный уровень (Алгебра)
Решение #1

Рассмотрим вариант решения задания из учебника Мерзляк, Номировский, Поляков 10 класс, Просвещение:
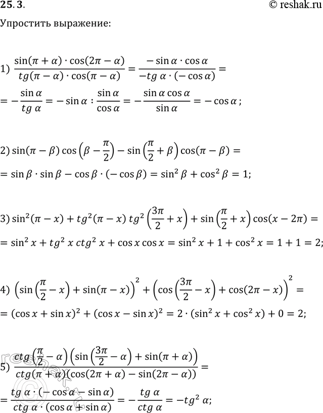
25.3. Упростите выражение:
1) sin(?+?)cos(2?-?)/(tg(?-?)cos(?-?));
2) sin(?-?)cos(?-?/2)-sin(?/2+?)cos(?-?);
3) sin^2(?-x)+tg^2(?-x)tg^2(3?/2+x)+sin(?/2+x)cos(x-2?);
4) (sin(?/2-x)+sin(?-x))^2+(cos(3?/2-x)+cos(2?-x))^2;
5) ctg(?/2-?)(sin(3?/2-?)+sin(?+?))/(ctg(?+?)(cos(2?+?)-sin(2?-?))).
Похожие решебники
Популярные решебники 10 класс Все решебники
*размещая тексты в комментариях ниже, вы автоматически соглашаетесь с пользовательским соглашением