Упр.24.5 ГДЗ Мерзляк 10 класс Углубленный уровень (Алгебра)
Решение #1

Рассмотрим вариант решения задания из учебника Мерзляк, Номировский, Поляков 10 класс, Просвещение:
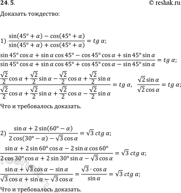
24.5. Докажите тождество:
1) (sin(45°+?)-cos(45°+?))/(sin(45°+?)+cos(45°+?))=tg(?);
2) (sin(?)+2sin(60°-?))/(2cos(30°-?)-v3cos(?))=v3ctg(?).
Похожие решебники
Популярные решебники 10 класс Все решебники
*размещая тексты в комментариях ниже, вы автоматически соглашаетесь с пользовательским соглашением