Упр.24.1 ГДЗ Мерзляк 10 класс Углубленный уровень (Алгебра)
Решение #1

Рассмотрим вариант решения задания из учебника Мерзляк, Номировский, Поляков 10 класс, Просвещение:
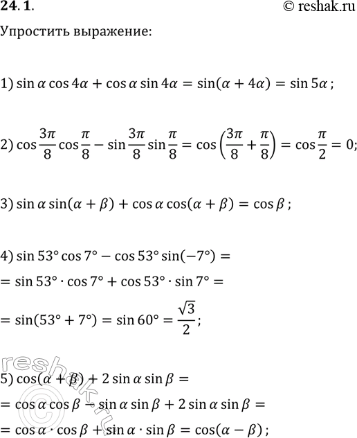
24.1. Упростите выражение:
1) sin(?)cos(4?)+cos(?)sin(4?);
2) cos(3?/8)cos(?/8)-sin(3?/8)sin(?/8);
3) sin(?)sin(?+?)+cos(?)cos(?+?);
4) sin(53°)cos(7°)-cos(53°)sin(-7°);
5) cos(?+?)+2sin(?)sin(?).
Похожие решебники
Популярные решебники 10 класс Все решебники
*размещая тексты в комментариях ниже, вы автоматически соглашаетесь с пользовательским соглашением