🔥ГДЗ под запретом?

Упр.221 ГДЗ Никольский Потапов 9 класс (Алгебра)

Решение #1

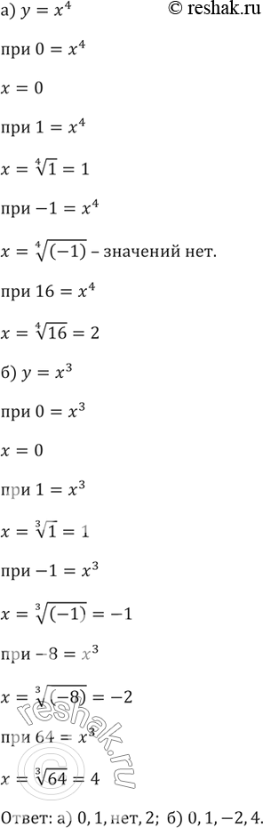
Изображение 221. При каких значениях аргумента значение функции:а) у = х^4 равно 0; 1; -1; 16;б) у = х^3 равно 0; 1; -1; -8;...

Решение #2

Изображение 221. При каких значениях аргумента значение функции:а) у = х^4 равно 0; 1; -1; 16;б) у = х^3 равно 0; 1; -1; -8;...

Рассмотрим вариант решения задания из учебника Никольский, Потапов 9 класс, Просвещение:
221. При каких значениях аргумента значение функции:

а) у = х^4 равно 0; 1; -1; 16;
б) у = х^3 равно 0; 1; -1; -8; 64?
*Цитирирование задания со ссылкой на учебник производится исключительно в учебных целях для лучшего понимания разбора решения задания.
*К сожалению, временные проблемы с публикацией комментариев с мобильных устройств.