Упр.213 ГДЗ Мерзляк 8 класс (Алгебра)
Решение #1
Решение #2
Решение #3

Рассмотрим вариант решения задания из учебника Мерзляк, Полонская, Якир 8 класс, Вентана-Граф:
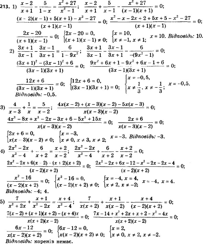
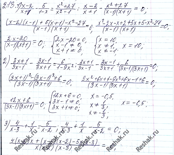
213. Решите уравнение:
1) (x-2)/(x+1) - 5/(1-x) = (x2+27)/(x2-1);
2) (3x+1)/(3x-1) - (3x-1)/(3x+1) = 6/(1-9x2)
Похожие решебники
Популярные решебники 8 класс Все решебники
*К сожалению, временные проблемы с публикацией комментариев с мобильных устройств.