Упр.207 ГДЗ Мерзляк 8 класс (Алгебра)
Решение #1
Решение #2
Решение #3

Рассмотрим вариант решения задания из учебника Мерзляк, Полонская, Якир 8 класс, Вентана-Граф:
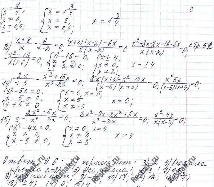
207. Решите уравнение:
1) (x-6)/(x-4) = 0;
2) (x-2)/(x2-4) = 0;
3) (x2-4)/(x-2) = 0;
4) (x-2)/(x-2) = 1;
Похожие решебники
Популярные решебники 8 класс Все решебники
*К сожалению, временные проблемы с публикацией комментариев с мобильных устройств.