Упр.210 ГДЗ Мерзляк Полонский 8 класс (Алгебра)
Решение #1 (Учебник 2025)
Решение #2 (Учебник 2025)
Решение #3 (Учебник 2019)
Решение #4 (Учебник 2019)

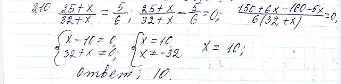
Рассмотрим вариант решения задания из учебника Мерзляк, Полонская, Якир 8 класс, Просвещение:
Составьте пару равносильных уравнений, каждое из которых:
1) имеет один корень;
2) имеет два корня;
3) имеет бесконечно много корней;
4) не имеет корней.
Какое число нужно прибавить к числителю и знаменателю дроби 25/32, чтобы получить дробь, равную 5/6?
Похожие решебники
Популярные решебники 8 класс Все решебники
*К сожалению, временные проблемы с публикацией комментариев с мобильных устройств.