🔥ГДЗ под запретом?

Упр.198 ГДЗ Никольский Потапов 9 класс (Алгебра)

Решение #1

Изображение 198. Какова производная в точке х функции:а) у = 2х + 3;б) у = -2 - Зх;в) у = 2х^2 - Зх + 1;г) у = -х^2 + 2х -...

Решение #2

Изображение 198. Какова производная в точке х функции:а) у = 2х + 3;б) у = -2 - Зх;в) у = 2х^2 - Зх + 1;г) у = -х^2 + 2х -...

Рассмотрим вариант решения задания из учебника Никольский, Потапов 9 класс, Просвещение:
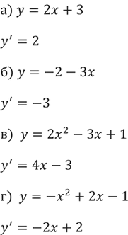
198. Какова производная в точке х функции:

а) у = 2х + 3;

б) у = -2 - Зх;

в) у = 2х^2 - Зх + 1;

г) у = -х^2 + 2х - 1?
*Цитирирование задания со ссылкой на учебник производится исключительно в учебных целях для лучшего понимания разбора решения задания.
*К сожалению, временные проблемы с публикацией комментариев с мобильных устройств.