🔥ГДЗ под запретом?

Упр.203 ГДЗ Никольский Потапов 9 класс (Алгебра)

Решение #1

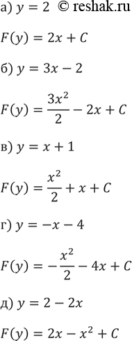
Изображение 203. Чему равна первообразная для функции:а) у = 2;	б) у = Зх - 2;	в) у = х + 1;г) у = -х - 4;	д) у = 2 -...

Решение #2

Изображение 203. Чему равна первообразная для функции:а) у = 2;	б) у = Зх - 2;	в) у = х + 1;г) у = -х - 4;	д) у = 2 -...

Рассмотрим вариант решения задания из учебника Никольский, Потапов 9 класс, Просвещение:
203. Чему равна первообразная для функции:

а) у = 2; б) у = Зх - 2; в) у = х + 1;

г) у = -х - 4; д) у = 2 - 2х?
*Цитирирование задания со ссылкой на учебник производится исключительно в учебных целях для лучшего понимания разбора решения задания.
*К сожалению, временные проблемы с публикацией комментариев с мобильных устройств.