Упр.171 ГДЗ Мерзляк Полонский 8 класс (Алгебра)
Решение #1 (Учебник 2025)
Решение #2 (Учебник 2025)
Решение #3 (Учебник 2019)
Решение #4 (Учебник 2019)

Рассмотрим вариант решения задания из учебника Мерзляк, Полонская, Якир 8 класс, Просвещение:
В двух бидонах находится 80 л молока. Если из первого бидона перелить 20 % молока во второй бидон, то в обоих бидонах молока станет поровну.
Сколько литров молока было в каждом бидоне первоначально?
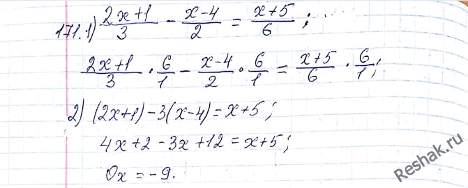
Докажите, что уравнение (2x+1)/3 - (x-4)/2 = (x+5)/6 не имеет корней.
Похожие решебники
Популярные решебники 8 класс Все решебники
*К сожалению, временные проблемы с публикацией комментариев с мобильных устройств.