Упр.167 ГДЗ Мерзляк 8 класс (Алгебра)
Решение #1
Решение #2
Решение #3

Рассмотрим вариант решения задания из учебника Мерзляк, Полонская, Якир 8 класс, Вентана-Граф:
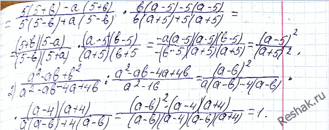
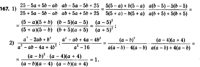
167. Упростите выражение:
1) (25-5a+5b-ab)/(25+5a-5b-ab) * (ab-5a-5b+25)/(ab+5a+5b+25);
2) (a2-2ab+b2)/(a2-ab-4a+4b) : (a2-ab+4a-4b)/(a2-16).
Похожие решебники
Популярные решебники 8 класс Все решебники
*К сожалению, временные проблемы с публикацией комментариев с мобильных устройств.