Упр.170 ГДЗ Мерзляк Полонский 8 класс (Алгебра)
Решение #1 (Учебник 2025)
Решение #2 (Учебник 2025)
Решение #3 (Учебник 2019)
Решение #4 (Учебник 2019)

Рассмотрим вариант решения задания из учебника Мерзляк, Полонская, Якир 8 класс, Просвещение:
Из пункта A в пункт В, расстояние между которыми равно 192 км, со скоростью 60 км/ч выехал мотоциклист.
Через 30 мин навстречу ему из пункта В со скоростью 75 км/ч выехал второй мотоциклист.
Сколько времени ехал второй мотоциклист до встречи с первым?
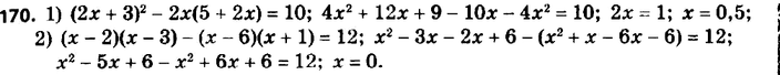
Решите уравпепие:
1) (2х + 3)2 - 2х(5 + 2х) = 10;
2) (х - 2)(х - 3) - (х - 6)(х + 1) = 12.
Похожие решебники
Популярные решебники 8 класс Все решебники
*К сожалению, временные проблемы с публикацией комментариев с мобильных устройств.