Упр.17.20 ГДЗ Мерзляк 10 класс Углубленный уровень (Алгебра)
Решение #1

Рассмотрим вариант решения задания из учебника Мерзляк, Номировский, Поляков 10 класс, Просвещение:
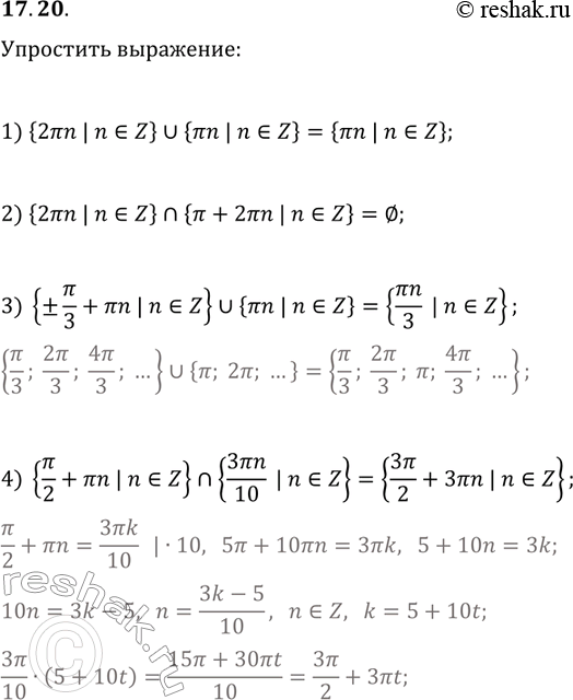
17.20. Упростите:
1) {2ПЂn | nв€€Z}в€Є{ПЂn | nв€€Z};
2) {2ПЂn | nв€€Z}в‹‚{ПЂ+2ПЂn | nв€€Z};
3) {В±ПЂ/3 | nв€€Z}в€Є{ПЂn | nв€€Z};
4) {ПЂ/2+ПЂn | nв€€Z}в‹‚{3ПЂn/10 | nв€€Z}.
Похожие решебники
Популярные решебники 10 класс Все решебники
*размещая тексты в комментариях ниже, вы автоматически соглашаетесь с пользовательским соглашением