🔥ГДЗ под запретом?

Упр.164 ГДЗ Бунимович Булычев 10 класс (Алгебра)

Решение #1

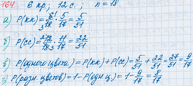
Изображение 164. В ящике лежит 6 красных и 12 синих шаров. Из него один за другим вынимают 2 шара. С какой вероятностью:а) оба шара будут красными;б) оба шара будут синими;в)...

Рассмотрим вариант решения задания из учебника Бунимович, Булычев 10 класс, Просвещение:
164. В ящике лежит 6 красных и 12 синих шаров. Из него один за другим вынимают 2 шара. С какой вероятностью:
а) оба шара будут красными;
б) оба шара будут синими;
в) шары будут одного цвета;
г) шары будут разных цветов?
*Цитирирование задания со ссылкой на учебник производится исключительно в учебных целях для лучшего понимания разбора решения задания.
*К сожалению, временные проблемы с публикацией комментариев с мобильных устройств.