Упр.163 ГДЗ Бунимович Булычев 10 класс (Алгебра)

Решение #1

Изображение 163. Про случайные события А и В известно, что они независимые и что Р(А) = 0,3, Р(В) = 0,4.Найдите вероятности событий Р(А), Р(В), Р(А n В), Р(А U...

Рассмотрим вариант решения задания из учебника Бунимович, Булычев 10 класс, Просвещение:
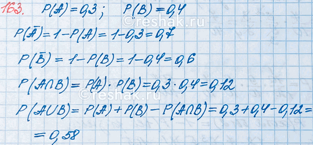
163. Про случайные события А и В известно, что они независимые и что Р(А) = 0,3, Р(В) = 0,4.
Найдите вероятности событий Р(А), Р(В), Р(А n В), Р(А U В).
*Цитирирование задания со ссылкой на учебник производится исключительно в учебных целях для лучшего понимания разбора решения задания.
*К сожалению, временные проблемы с публикацией комментариев с мобильных устройств.