Упр.161 ГДЗ Колягин Ткачёва 7 класс (Алгебра)
Решение #1 (Учебник 2023)
Решение #2 (Учебник 2012)

Рассмотрим вариант решения задания из учебника Колягин, Ткачёва, Фёдорова 7 класс, Просвещение:
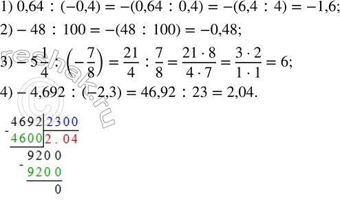
Выполнить деление:
1) 0,64 : (-0,4); 2) -48 : 100;
3) -5 1/4 : (-7/8); 4) -4,692 : (-2,3).
Записать произведение в виде степени:
1) 2^3 2^2 2^4;
2) 3^2 3^5 3^3;
3) (-5)^6 (-5)^3 (-5)^4;
4) (-6)^3 (-6)^2 (-6)^7.
Популярные решебники 7 класс Все решебники
*размещая тексты в комментариях ниже, вы автоматически соглашаетесь с пользовательским соглашением