Упр.14.4 ГДЗ Мерзляк 10 класс Углубленный уровень (Алгебра)
Решение #1

Рассмотрим вариант решения задания из учебника Мерзляк, Номировский, Поляков 10 класс, Просвещение:
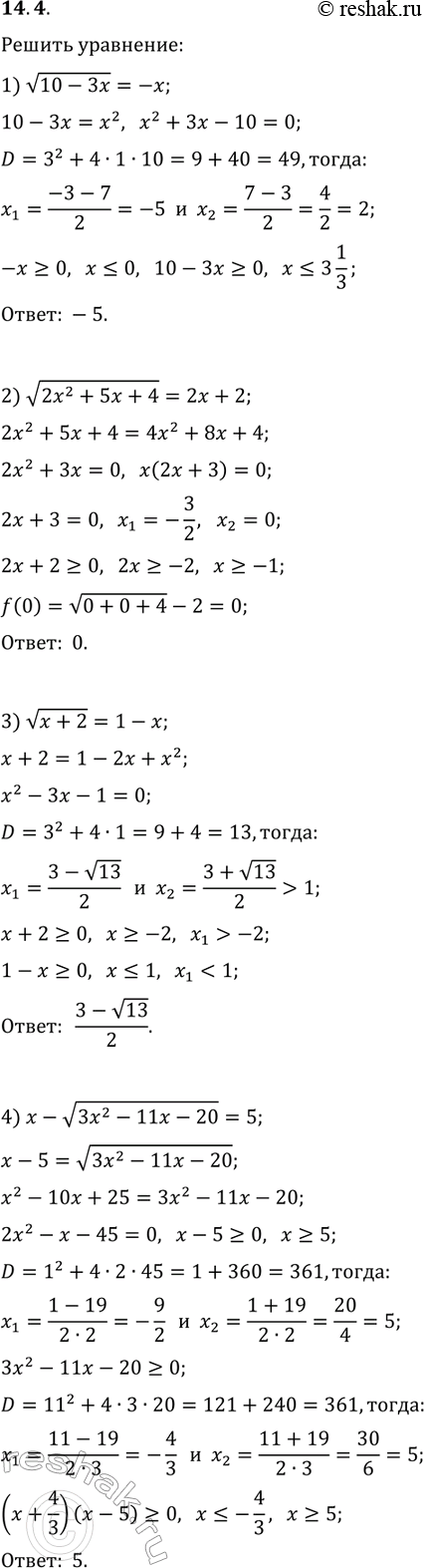
14.4. Решите уравнение:
1) v(10-3x)=-x; 3) v(x+2)=1-x;
2) v(2x^2+5x+4)=2x+2; 4) x-v(3x^2-11x-20)=5.
Похожие решебники
Популярные решебники 10 класс Все решебники
*размещая тексты в комментариях ниже, вы автоматически соглашаетесь с пользовательским соглашением