Упр.14.3 ГДЗ Мерзляк 10 класс Углубленный уровень (Алгебра)
Решение #1

Рассмотрим вариант решения задания из учебника Мерзляк, Номировский, Поляков 10 класс, Просвещение:
14.3. Решите уравнение:
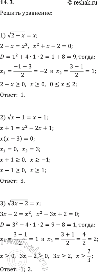
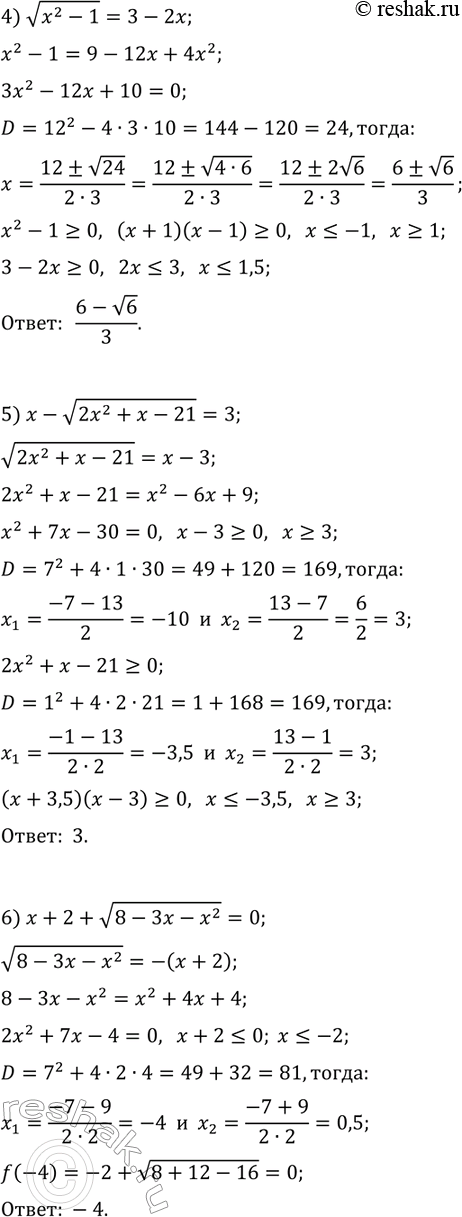
1) v(2-x)=x; 4) v(x^2-1)=3-2x;
2) v(x+1)=x-1; 5) x-v(2x^2+x-21)=3;
3) v(3x-2)=x; 6) x+2+v(8-3x-x^2)=0.
Похожие решебники
Популярные решебники 10 класс Все решебники
*размещая тексты в комментариях ниже, вы автоматически соглашаетесь с пользовательским соглашением