Упр.14.21 ГДЗ Мордкович Семенов 11 класс (Алгебра)
Решение #1 (Учебник 2025)
Решение #2 (Учебник 2022)

Рассмотрим вариант решения задания из учебника Мордкович, Семенов, Александрова 11 класс, Просвещение:
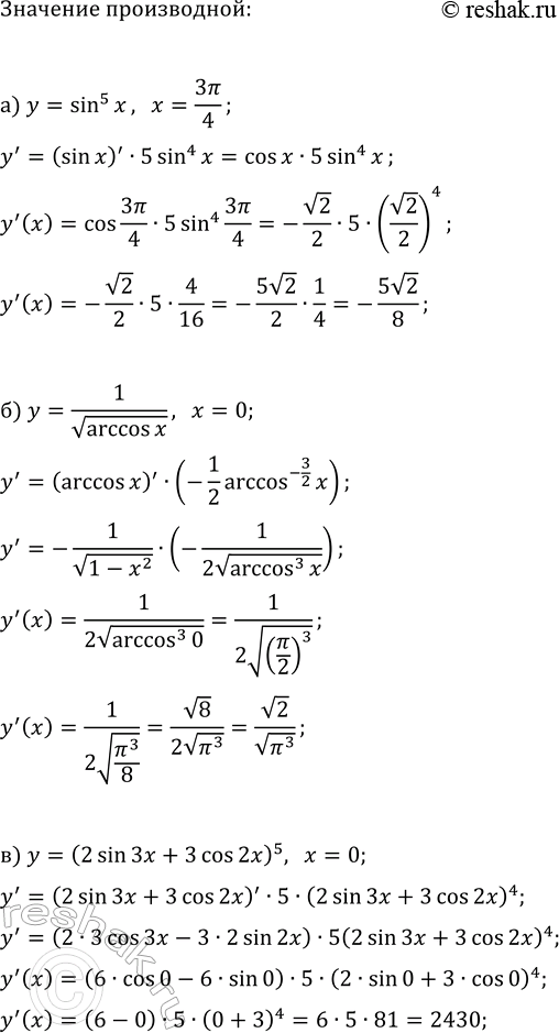
Найдите значение производной заданной функции в указанной точке:
а) y = sin^5 x, x = 3?/4; б) y = 1 / v(arccos x), x = 0;
в) y = (2sin 3x + 3cos 2x)^5, x = 0; г) y = 1 / cos^7 x, x = 7?/6;
д) y = (arcctg x)^(1/3), x = -1; е) y = (tg 2x + ctg 4x)^6, x = ?/8.
а) Найдите точку графика функции y=2e^(4-0,5x), в которой касательная образует с осью х угол ?=135°.
б) Найдите точку графика функции y=-v3ln(x), в которой касательная образует с осью х угол ?=150°.
Похожие решебники
Популярные решебники 11 класс Все решебники
*К сожалению, временные проблемы с публикацией комментариев с мобильных устройств.