Упр.14.19 ГДЗ Мордкович Семенов 11 класс (Алгебра)
Решение #1 (Учебник 2025)
Решение #2 (Учебник 2022)

Рассмотрим вариант решения задания из учебника Мордкович, Семенов, Александрова 11 класс, Просвещение:
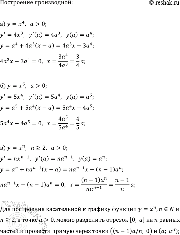
а) Докажите, что касательную к графику функции y = x^4 в точке a > 0 можно построить так: разделить отрезок [0; a] на 4 равные части и провести прямую через точки (3a/4; 0) и (a; a^4).
б) Докажите, что касательную к графику функции y = x^5 в точке a > 0 можно построить так: разделить отрезок [0; a] на 5 равных частей и провести прямую через точки (4a/5; 0) и (a; a^5).
в) Ссылаясь на пример 4 из § 9 (см. с. 99) и результаты пунктов а) и б), сформулируйте гипотезу о геометрическом способе построения касательной к графику функции y = x^n, n ? N, n ? 2, в точке a > 0 и докажите свою гипотезу.
Найдите значение производной данной функции в точке x_0:
а) y=x^3+ln(x), x_0=1;
б) y=log_3(x)+1, x_0=3;
в) y=x^4-ln(x), x_0=1;
г) y=log_0,5(x)+x, x_0=4.
Похожие решебники
Популярные решебники 11 класс Все решебники
*К сожалению, временные проблемы с публикацией комментариев с мобильных устройств.