Упр.14.14 ГДЗ Мерзляк 10 класс Углубленный уровень (Алгебра)
Решение #1

Рассмотрим вариант решения задания из учебника Мерзляк, Номировский, Поляков 10 класс, Просвещение:
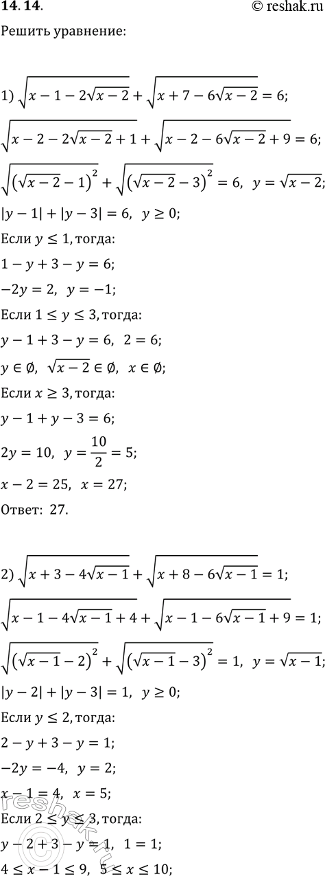
14.14. Решите уравнение:
1) v(x-1-2v(x-2))+v(x+7-6v(x-2))=6;
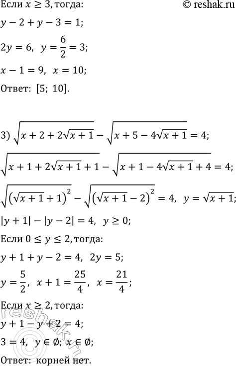
2) v(x+3-4v(x-1))+v(x+8-6v(x-1))=1;
3) v(x+2+2v(x+1))-v(x+6-4v(x+1))=4.
Похожие решебники
Популярные решебники 10 класс Все решебники
*размещая тексты в комментариях ниже, вы автоматически соглашаетесь с пользовательским соглашением