Упр.14.12 ГДЗ Мерзляк 10 класс Углубленный уровень (Алгебра)
Решение #1

Рассмотрим вариант решения задания из учебника Мерзляк, Номировский, Поляков 10 класс, Просвещение:
14.12. Решите уравнение:
1) v(2x+1)+v(x-3)=2vx;
2) v(5x-1)-v(3x-2)=v(x-1);
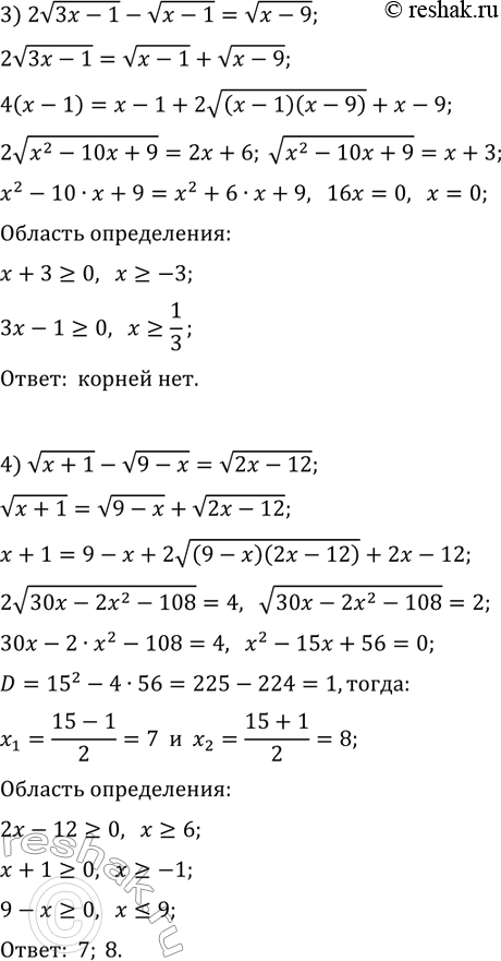
3) 2v(3x-1)-v(x-1)=v(x-9);
4) v(x+1)-v(9-x)=v(2x-12).
Похожие решебники
Популярные решебники 10 класс Все решебники
*размещая тексты в комментариях ниже, вы автоматически соглашаетесь с пользовательским соглашением