Упр.1158 ГДЗ Мерзляк Полонский 7 класс (Алгебра)
Решение #1 (Учебник 2025)
Решение #2 (Учебник 2021)
Решение #3 (Учебник 2021)

Рассмотрим вариант решения задания из учебника Мерзляк, Полонская, Якир 7 класс, Вентана-Граф:
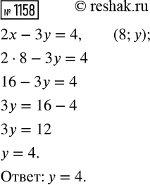
Известно, что пара чисел (8; у) является решением уравнения 2х - 3у = 4. Найдите значение у.
Докажите тождество:
1) -0,2х3(2,5х - 4) (6 - х2) = 0,5х6 - 0,8х5 - Зх4 + 4,8х3;
2) (а - 2) (а2 + За - 18) = (а - 3) (а2 + 4а - 12).
Похожие решебники
Популярные решебники 7 класс Все решебники
*К сожалению, временные проблемы с публикацией комментариев с мобильных устройств.