Упр.1080 ГДЗ Мерзляк Полонский 5 класс (Математика)
Решение #1 (Учебник 2024)
Решение #2 (Учебник 2019)
Решение #3 (Учебник 2019)

Рассмотрим вариант решения задания из учебника Мерзляк, Полонский, Якир 5 класс, Просвещение:
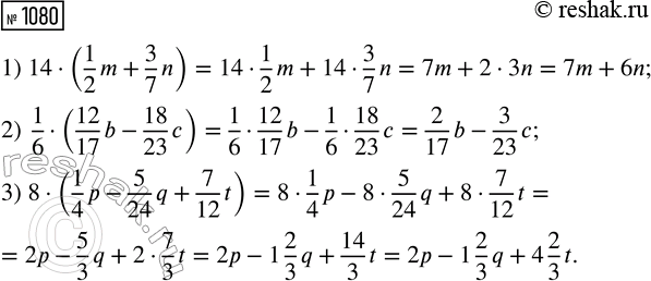
Раскройте скобки:
1) 14 · (1/2 m + 3/7 n);
2) 1/6 · (12/17 b - 18/23 c);
3) 8 · (1/4 p - 5/24 q + 7/12 t).
Длина прямоугольника равна 80 см, его ширина составляет 80 % длины. Найдите периметр и площадь прямоугольника.
Похожие решебники
Популярные решебники 5 класс Все решебники
*размещая тексты в комментариях ниже, вы автоматически соглашаетесь с пользовательским соглашением