Упр.1075 ГДЗ Мерзляк Полонский 5 класс (Математика)
Решение #1 (Учебник 2024)
Решение #2 (Учебник 2019)
Решение #3 (Учебник 2019)

Рассмотрим вариант решения задания из учебника Мерзляк, Полонский, Якир 5 класс, Просвещение:
Упростите выражение:
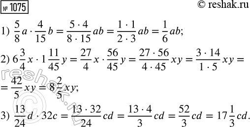
1) 5/8 a · 4/15 b;
2) 6 3/4 x · 1 11/45 y;
3) 13/24 d · 32c
В 2007 г. потребление мяса и мясопродуктов в Российской Федерации составляло 60 кг на душу населения. В 2013 г. потребление мяса и мясопродуктов на душу населения составило 125 % по отношению к 2007 г. Сколько килограммов составило потребление мяса и мясопродуктов на душу населения в 2013 г.?
Похожие решебники
Популярные решебники 5 класс Все решебники
*размещая тексты в комментариях ниже, вы автоматически соглашаетесь с пользовательским соглашением