Упр.1079 ГДЗ Мерзляк Полонский 5 класс (Математика)
Решение #1 (Учебник 2024)
Решение #2 (Учебник 2019)
Решение #3 (Учебник 2019)

Рассмотрим вариант решения задания из учебника Мерзляк, Полонский, Якир 5 класс, Просвещение:
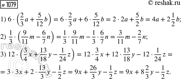
Раскройте скобки:
1) 6 · (2/3 a + 5/12 b);
2) 1/3 · (9/11 m - 6/7 n);
3) 12 · (3/4 x + 13/18 y - 1/24 z).
Убытки акционерного общества «Лебедь, рак и щука» за три летних месяца составили 246 000 р. В июне убытки составили 35 % этой суммы, а финансовые потери за июль составили 110 % июньских потерь. Сколько рублей составили потери акционерного общества в июле?
Похожие решебники
Популярные решебники 5 класс Все решебники
*К сожалению, временные проблемы с публикацией комментариев с мобильных устройств.