Упр.10.2 ГДЗ Мерзляк 10 класс Углубленный уровень (Алгебра)
Решение #1

Рассмотрим вариант решения задания из учебника Мерзляк, Номировский, Поляков 10 класс, Просвещение:
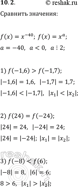
10.2. Функция задана формулой f(x)=x^(-40). Сравните:
1) f(-1,6) и f(-1,7); 2) f(24) и f(-24); 3) f(-8) и f(6).
Похожие решебники
Популярные решебники 10 класс Все решебники
*размещая тексты в комментариях ниже, вы автоматически соглашаетесь с пользовательским соглашением