Упр.10 ГДЗ Мерзляк 9 класс (Алгебра)
Решение #1 (Учебник 2024)
Решение #2 (Учебник 2021)
Решение #3 (Учебник 2021)
Решение #4 (Учебник 2021)

Рассмотрим вариант решения задания из учебника Мерзляк, Полонская, Якир 9 класс, Просвещение:
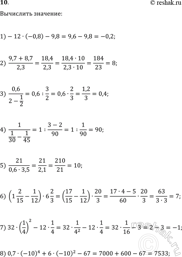
Найдите значение выражения:
1) -12·(-0,8)-9,8; 5) 21/(0,6·3,5);
2) (9,7+8,7)/2,3; 6) (1 2/15-1/12)·6 2/3;
3) 0,6/(2-1/2); 7) 32·(1/4)^2-12·1/4;
4) 1/(1/30-1/45); 8) 0,7·(-10)^4+6·(-10)^2-67.
Верно ли утверждение:
1) если a > b, то a/b > 1;
2) если а > 1, то 2/a < 2;
3) если а < 1, то 2/a > 2;
4) если a/b > 1, то а > b;
5) если а^2 > 1, то а > 1?
Похожие решебники
Популярные решебники 9 класс Все решебники
*размещая тексты в комментариях ниже, вы автоматически соглашаетесь с пользовательским соглашением