Упр.10 ГДЗ Бунимович Булычев 11 класс (Алгебра)

Решение #1

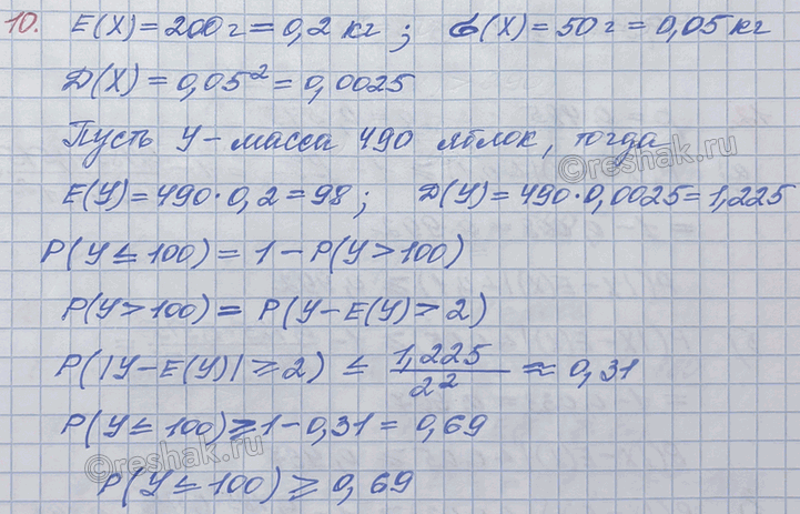
Изображение Масса яблока имеет математическое ожидание 200 г и стандартное отклонение 50 г. Оцените вероятность того, что в 100 кг окажется не менее 490...

Рассмотрим вариант решения задания из учебника Бунимович, Булычев 11 класс, Просвещение:
Масса яблока имеет математическое ожидание 200 г и стандартное отклонение 50 г. Оцените вероятность того, что в 100 кг окажется не менее 490 яблок.
*Цитирирование задания со ссылкой на учебник производится исключительно в учебных целях для лучшего понимания разбора решения задания.
*размещая тексты в комментариях ниже, вы автоматически соглашаетесь с пользовательским соглашением