🔥ГДЗ под запретом?

Упр.1.94 ГДЗ Виленкин Жохов 6 класс Часть 1, Просвещение (Математика)

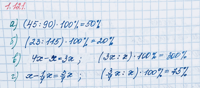
Решение #1 (Учебник 2023)

Изображение а) На сколько процентов увеличилось число 90, если его увеличили на 45?б) На сколько процентов уменьшилось число 115, если его уменьшили на 23?в) На сколько...

Решение #2 (Учебник 2023)

Изображение а) На сколько процентов увеличилось число 90, если его увеличили на 45?б) На сколько процентов уменьшилось число 115, если его уменьшили на 23?в) На сколько...

Решение #3 (Учебник 2021)

Изображение а) На сколько процентов увеличилось число 90, если его увеличили на 45?б) На сколько процентов уменьшилось число 115, если его уменьшили на 23?в) На сколько...

Решение #4 (Учебник 2021)

Изображение а) На сколько процентов увеличилось число 90, если его увеличили на 45?б) На сколько процентов уменьшилось число 115, если его уменьшили на 23?в) На сколько...

Рассмотрим вариант решения задания из учебника Виленкин, Жохов, Чесноков 6 класс, Просвещение:
В математическом кружке занимаются 8 девочек, а мальчиков на 4 больше. Сколько процентов всех ребят, занимающихся в кружке, составляют мальчики; девочки?

а) На сколько процентов увеличилось число 90, если его увеличили на 45?
б) На сколько процентов уменьшилось число 115, если его уменьшили на 23?
в) На сколько процентов увеличилось число, если его увеличили в 4 раза?
г) На сколько процентов уменьшилось число, если его уменьшили в 4 раза?

*Цитирирование задания со ссылкой на учебник производится исключительно в учебных целях для лучшего понимания разбора решения задания.
*К сожалению, временные проблемы с публикацией комментариев с мобильных устройств.