🔥ГДЗ под запретом?

Упр.1.48 ГДЗ Виленкин Жохов 6 класс Часть 1, Просвещение (Математика)

Решение #1 (Учебник 2023)

Изображение Во время новогодних каникул 68 % учащихся 5 класса посетили театр или музей, а остальные — каток. Сколько учащихся в 5 классе, если на каток выбрались 8 учеников...

Решение #2 (Учебник 2023)

Изображение Во время новогодних каникул 68 % учащихся 5 класса посетили театр или музей, а остальные — каток. Сколько учащихся в 5 классе, если на каток выбрались 8 учеников...

Решение #3 (Учебник 2021)

Изображение Во время новогодних каникул 68 % учащихся 5 класса посетили театр или музей, а остальные — каток. Сколько учащихся в 5 классе, если на каток выбрались 8 учеников...

Решение #4 (Учебник 2021)

Изображение Во время новогодних каникул 68 % учащихся 5 класса посетили театр или музей, а остальные — каток. Сколько учащихся в 5 классе, если на каток выбрались 8 учеников...

Рассмотрим вариант решения задания из учебника Виленкин, Жохов, Чесноков 6 класс, Просвещение:
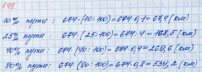
Протяжённость туристического маршрута по Золотому кольцу России состав ляет 674 км. Сколько километров проедут путешественники, когда преодолеют 10 % всего пути; 25 % пути; 40 % пути; 80 % пути?

Во время новогодних каникул 68 % учащихся 5 класса посетили театр или музей, а остальные — каток. Сколько учащихся в 5 классе, если на каток выбрались 8 учеников класса?

Известно, что 68% учащихся посетили театр и музей, а остальные – каток, то есть
100%-68%=32% учащихся посетили каток.
Также известно, что на каток ходили 8 учеников класса.
Значит, 8 учеников – это 32% класса.
Тогда, 1% учеников класса составляет
8:32=(8 )/32=8/(8•4)=1/4=0,25 (учеников) - 1% учеников класса.
Тогда, в классе 0,25•100=25 учащихся в 5 классе.
Ответ: 25 учащихся.

*Цитирирование задания со ссылкой на учебник производится исключительно в учебных целях для лучшего понимания разбора решения задания.
*К сожалению, временные проблемы с публикацией комментариев с мобильных устройств.