Упр.1.33 ГДЗ Дорофеев Суворова 9 класс (Алгебра)
Решение #1

Рассмотрим вариант решения задания из учебника Дорофеев, Суворова, Бунимович 9 класс, Просвещение:
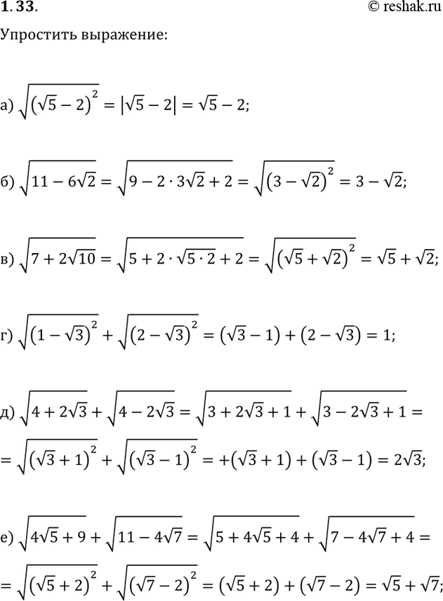
1.33. Упростите выражение:
а) v(v5-2)^2; г) v(1-v3)^2+v(2-v3)^2;
б) v(11-6v2); д) v(4+2v3)+v(4-2v3);
в) v(7+2v10); е) v(4v5+9)+v(11-4v7).
Указание. В б), в), д), е) представьте подкоренное выражение в виде квадрата двучлена, например:
v(11-4v7)=7-2·2·v7+4=(v7-2)^2;
8+2v15=5+2v5·v3+3=(v5+v3)^2.
Популярные решебники 9 класс Все решебники
*размещая тексты в комментариях ниже, вы автоматически соглашаетесь с пользовательским соглашением